무더위로 인한 정신장애 인구의 초과입원 위험이 비장애 인구에 비해 최대 4.6배 높은 것으로 나타나, 장애인을 위한 기후변화 대응책 논의가 필요한 것으로 조사됐다.
정보의생명공학대학 의생명융합공학부 이환희(사진) 교수팀이 전 세계적으로 진행되고 있는 지구 온난화와 관련해 2006년부터 2021년까지 최근 16년간 45만여 건의 자료를 바탕으로, 여름철 폭염에 노출된 지적장애인, 자폐스펙트럼장애인, 정신장애인의 응급실을 경유한 입원 위험이 비장애 인구에 비해 4배 이상 높다는 연구 결과를 정신 보건 분야의 저명 국제학술지인 『Lancet Psychiatry』 4월 15일자에 발표했다.
최근 심각해지고 있는 지구 온난화와 기후 위기에 전 세계적인 대응이 촉구되고 있으며, 여름철 무더위는 조기 사망을 비롯해 건강 악화로 인한 병원 방문 위험을 높이는 것으로 알려져 있다.
특히 저소득층이나 노인 등이 이러한 건강 영향에 더욱 취약함을 보여 왔는데, 장애인에 대한 위험은 알려진 바가 거의 없었다. 연구팀은 이러한 제한점에 주목해 지적장애, 자폐스펙트럼장애, 정신장애 인구의 폭염 노출에 따른 응급실을 경유한 입원 위험을 분석했다.
장애인은 사회 및 교육 참여, 근로 활동의 어려움을 비롯해 높은 만성 질환 유병률, 정보 접근의 한계 등을 이유로 폭염 노출에 취약할 것으로 추측되나, 장애인에게서의 폭염 영향을 다룬 연구가 전 세계적으로 부족한 실정이라는 점에서 연구의 필요성이 제기돼 왔다. 특히 연구팀은 정신장애 인구가 기본적으로 생체 메커니즘이 취약하고, 리터러시(문해력)가 더 떨어져 장애인 중에서도 폭염 영향이 클 것으로 판단, 본격적인 연구에 들어갔다.
이를 위해 부산대 연구팀은 지적장애인, 자폐스펙트럼장애인, 정신장애인에게서 여름철 폭염에 노출됐을 때 응급실을 경유한 입원의 위험이 얼마나 되는지 국내 처음으로 조사했다.
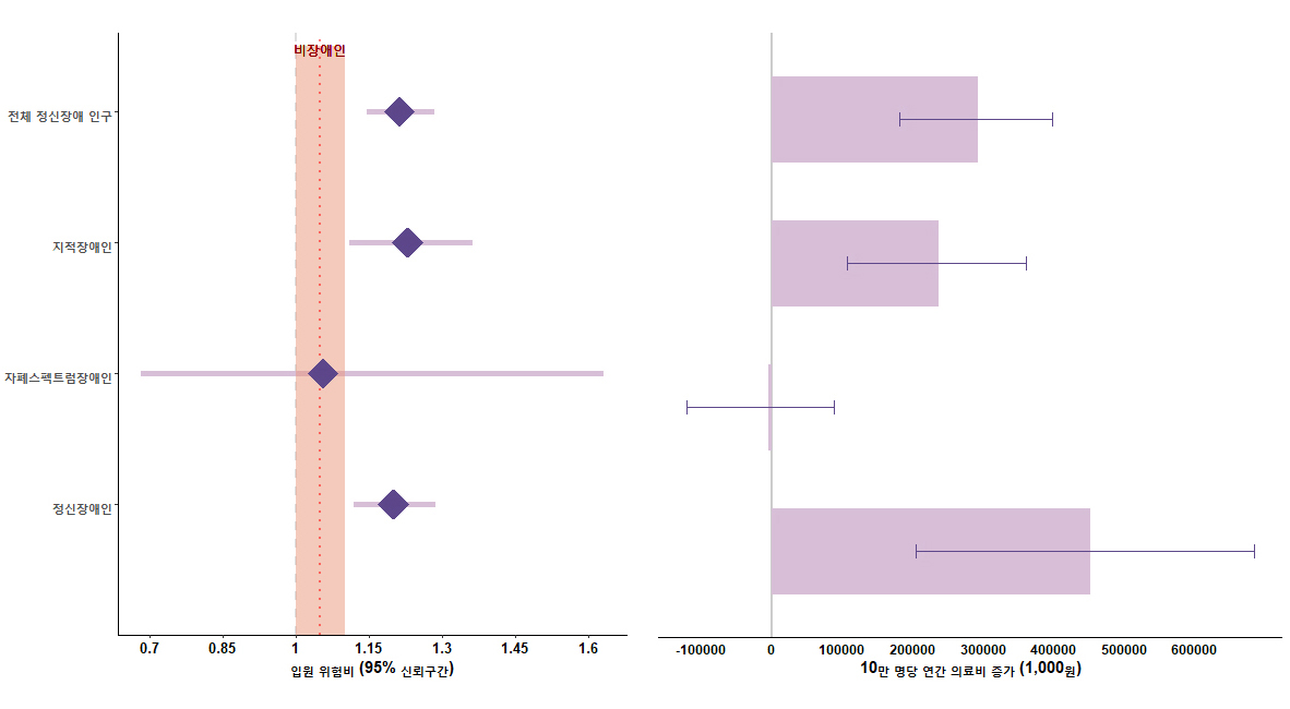
연구 결과, 비장애 인구의 위험이 1.05배 증가한 데 반해, 지적장애인 1.23배, 자폐스펙트럼장애인 1.06배, 정신장애인 1.20배가 증가해, 비장애 인구에 비해 정신장애 인구는 초과입원 위험이 최대 4.6배의 증가폭을 보였다.
※ 가령, 평소 입원 인원을 100명이라고 상정하면, 폭염 시 비장애 인구는 105명으로 5명 증가하고, 지적장애인의 경우 123명으로 23명 증가해 증가폭이 4.6배(5명 vs 23명)임.
이들 중에서도 비도시 지역에 거주하는 이들, 소득 수준이 낮은 이들(보험료 분위 기준 의료급여 및 1~3분위)의 위험이 특히 두드러졌다. 입원 원인으로는 비뇨·생식기계 질환으로 인한 입원 위험이 크게 증가하는 것으로 나타났다.
이로 인한 의료비 증가 역시 상당했다. 연구팀은 지적장애인, 자폐스펙트럼장애인, 정신장애인 10만 명당 연간 2억 9,246만 원(최소 1억 8,172만 원, 최대 3억 9,750만 원)의 의료비가 폭염으로 인해 추가로 지출되고 있다고 분석했다.

【장애 유형별 폭염 노출에 따른 응급실 경유 입원의 위험도 및 이로 인한 초과 의료비용(단위=1,000원) 발생 그래프】
이번 연구는 부산대 특성화사업단 및 한국환경연구원 지원을 받아, 서울대 보건대학원 박진아 박사과정생이 제1저자, 이환희 교수가 교신저자로 수행했다. 연구팀은 서울대 보건대학원 김호 교수 연구팀과 미국 예일대학교 미셸 벨(Michelle L Bell) 교수 연구팀과의 국민건강보험 청구 자료*를 활용한 공동 연구를 진행했다.
* 청구 자료(2006∼2021년): 정신장애 인구 45만 6,946명 대상(지적장애인 26만 6,039명, 자폐스펙트럼장애인 3만 7,534명, 정신장애인 15만 3,373명)
무더위 상황에서 지적장애인, 자폐스펙트럼장애인, 정신장애인이 비장애인에 비해 4배 이상 위험하다는 이번 분석은 향후 국가 단위의 기후 위기 대응책 수립 시 장애 인구 집단에 대한 고려가 필요함을 의미한다. 국내외적으로 더 포괄적인 기후 위기 대응 가이드라인 수립을 위한 양적 근거가 돼 줄 것으로 기대된다.
해당 연구결과는 정신 보건 분야의 저명 국제학술지인 『The Lancet Psychiatry』 게재와 더불어, 연구의 우수성을 인정받아 Lancet Podcast 인터뷰를 진행했고, 논문의 주제 및 결과와 관련한 코멘터리(Commentary article)도 함께 실렸다.
- 논문 제목: Heat and hospital admission via the emergency department for people with intellectual disability, autism, and mental disorders in South Korea: a nationwide, time-stratified, case crossover study(한국에서 지적장애인, 자폐스펙트럼장애인, 정신장애인의 온도 노출에 따른 응급실 경유 입원 간 연관성: 전국 단위 시간 층화 사례-교차 연구)
- 논문 링크: https://www.thelancet.com/journals/lanpsy/article/PIIS2215-0366(24)00067-1/abstract
- 팟케스트 링크: https://www.thelancet.com/doi/story/10.1016/audio.2024.04.15.109805
또한 연구팀은 한국 건강보험공단 표본코호트 100만 명의 자료를 활용해 정신장애뿐만 아니라 신체장애 등 전체 장애 인구를 대상으로 한 연구를 수행해, 2024년 4월 환경 보건 분야 저명 국제학술지인 『The Lancet Planetary Health』에 연구 성과를 게재했으며, 해당 연구는 저널 커버 페이지로 선정되기도 했다.
- 논문 링크: https://www.thelancet.com/journals/lanplh/article/PIIS2542-5196(24)00027-5/fulltext
이환희 교수는 “장애 인구는 이제까지 한국뿐 아니라 세계적으로도 기후 변화 취약성에 대한 정량적인 평가가 부족했던 집단”이라며 “이번 연구를 바탕으로 데이터 기반 장애인 기후 변화 대응 정책이 활발히 논의됐으면 하는 바람”이라고 전했다.
* 관련 보도: [KBS 대담한K] “장애인 폭염 위험 4.6배 높다”…이유는? https://www.youtube.com/watch?v=U738iVbxopk
[Abstract]
Given the anticipated increase in ambient temperature due to climate change, the hazardous effects of heat on health have been extensively studied; however, its impact on people with intellectual disability, autism, and mental illness is largely unknown. In this nationwide study, we used data from the National Health Insurance Database (NHID) of the National Health Insurance Service. Data on hospital admission via the ED were obtained from the NHID, including the primary cause of admission and corresponding medical costs, for the warm season (June?September) of the period 2006?2021. We applied a time-stratified case-crossover design using a distributed lag non-linear model and performed a conditional logistic regression.
The heat OR (odds at the 99th percentile vs 75th percentile of temperature) of ED admission was 1·23 (95% CI 1·11?1·36) for intellectual disability, 1·06 (0·68?1·63) for autism, and 1·20 (1·12?1·29) for mental disorders. People with intellectual disability, autism, and mental disorders should be included in groups considered at a high-risk for heat exposure, and heat adaptation policies should be implemented with consideration of these groups and their needs.
* Reference
Park, Jinah, et al. "Heat and hospital admission via the emergency department for people with intellectual disability, autism, and mental disorders in South Korea: a nationwide, time-stratified, case-crossover study." The Lancet Psychiatry 11.5 (2024): 359-367.
- Authors (Pusan National University): Prof. Whanhee Lee (School of BioMedical Convergence Engineering)
- Title of original paper: Heat and hospital admission via the emergency department for people with intellectual disability, autism, and mental disorders in South Korea: a nationwide, time-stratified, case-crossover study
- Journal: The Lancet Psychiatry
- DOI: https://doi.org/10.1016/S2215-0366(24)00067-1